高等部泉中央教室
反省、どうも紫竹です。
今日の問題ではやってはならないミスをしてしまいました・・・
気付けたからまだ良かったのですが、これが試験会場だったら気付けなかったかもしれません。
修行が足りない。もっと勉強しなければならない。
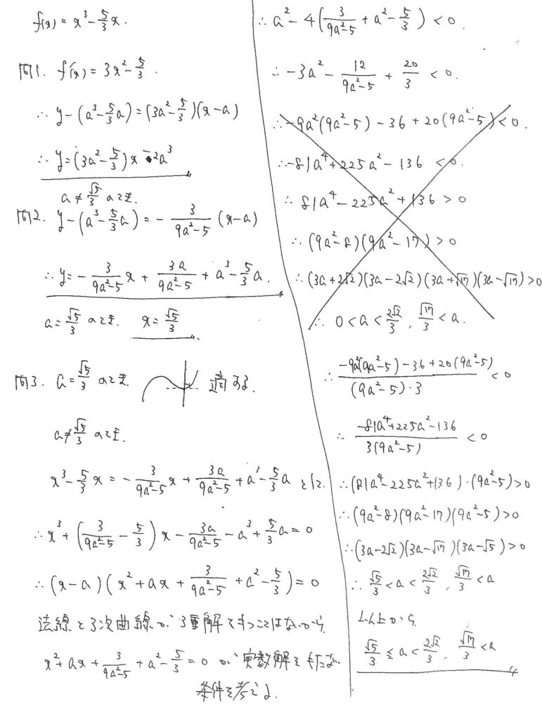
大阪公立大学2022年の4番です。こんな問題でした。

法線絡みなので計算が重そうです。分母に文字定数が入っちゃうんですよね。

不等式の分母を払う際に辺々にかけるものの正負を考慮し忘れてしまいました。(自分にがっかり)
そのまま計算しきったところ、グラフ上で考察した結果と合致しないからおかしいなと思い、
計算を見直してみたところ、ミスを発見しました。
それは横に置いたとしても、なかなかの計算量ですね。
計算の見通しが悪いので、進めるのに勇気が要ります。
「今自分が進もうとしている道は正しいという確信」が無いと、
真っ白の解答用紙には何も書けないものです。
わたるがぴゅんという漫画の印象的な台詞、
「違うぞ神山、根性つけるために練習してきたんだ」(あいまい)
というのがあります。
勝負の瞬間には、小手先の技術や知識よりも、
「私はこれだけやってきたのだ」という自信や根性が結果を左右します。
私はそう思います。
スライムばかり倒していてもレベルは上がりません。
強敵にチャレンジして、レベルアップしていきましょう。
今日の音楽は そこに鳴る / 最低 です。
高等部泉中央校 紫竹