高等部泉中央教室
運動会、どうも紫竹です。
先日、娘が通う小学校の運動会がありまして、
保護者2名までOKとのことで見に行ってきました。
天気が良くて気持ちのいい日だったのですが、
競技をしていない待機のときは児童たちもマスクを着用していました。
競技の際には先生が「マスク取っていいよ」と促していましたが、
それでも取らない子もちらほら。
それを見かねてなのかはわかりませんが、
徒競走のスターターの先生が自らマスクを取って、
マスクを取らない児童たちに再度アピールしたところ、
何人かの児童はマスクを取って走りました。
子どもに何かをしてほしいなら、まず大人がやらなきゃだめなんですね。
子どもに「勉強しなさい」「本を読みなさい」「ゲームをやめなさい」と言うよりも、
自分がスマホを置いて勉強したり読書をしたりする姿を見せるのが一番なのでしょう。
私にとっても耳が痛い話です。
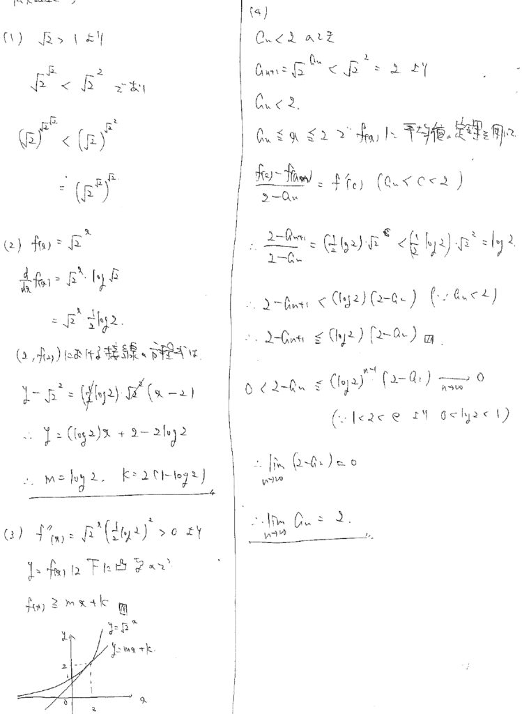
さて、今日の数学は、広島大学2022年の理系5番です。
こんな問題でした。

あれ、上手に画像が切り取れない・・・
まあ目を凝らせば読めることでしょう(やけくそ)
この問題も既視感強めですね。
高3後期レギュラー授業の中でよく似た問題を扱いました。
大分大の問題だったかな。
とりあえず手を動かすことにします。

こういう解けない漸化式の極限を求める問題は平均値の定理を用いるものと思ってしまっているので、
きっと(3)が誘導になっているのでしょうけど無視してしまいました。
が、結果的に無理のない答案になっているような気がします。
(3)は凸性から自明、でOKじゃないですかね。単に指数関数ですし。
このレベルの標準問題はスラスラ解けるようになってから試験会場に向かいましょう。
今日の音楽は 般若『じんせいさいこおお』 です。答えはわからねえ。
高等部泉中央校 紫竹