高等部泉中央教室
今日です、どうも紫竹です。
高1生向けのテスト対策、今日の20時からです。
数学Ⅰの最初の単元です。是非に!
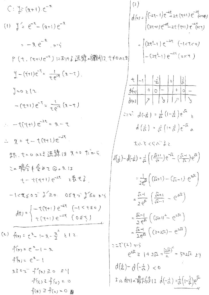
今日の数学は、筑波大学2022年の理系5番です。
こんな問題でした。

手を動かす前からなんとなく流れの見える問題ですが、
その予想は当たるのでしょうか。

x軸に垂直な法線があったり、場合分けが必要だったり、
予想よりも手間のかかる問題でした。
(2)の不等式は極限の不定形解消に使うのかなと思ったのですが、
(3)での値の大小比較に使うんですね。
半信半疑で計算しましたけど、これは試験時間内には見えにくいかもしれません。
が、流れを考えるとこれしかないですね。
筑波大2022の問題の中では重めですが、標準レベルは超えない難度など思いました。
ありがとうございました。
今日の音楽は Polyphia『Playing God』 です。まさかのエレアコ。
高等部泉中央校 紫竹